发布时间:2024-09-13 来源:勖瑞生物
D-二聚体是纤溶酶降解交联纤维蛋白的产物,D-二聚体的产生需要凝血酶、活化因子 Ⅲa 和纤溶酶的协同作用。目前,D-二聚体常用的截断值为 500 μg/L,由于检测方法的不同,截断值有一定差异。
D-二聚体在凝血和纤溶活性方面具有重要的作用,癌症患者的凝血纤溶系统被激活形成高凝状态,成为驱动癌症进展的关键因素,目前研究认为癌细胞直接参与凝血,或诱导血小板聚集,或调节内皮细胞和炎症过程,从而促使凝血功能与癌症进展双向调控,导致血栓或出血的同时,促进肿瘤生长、侵袭、间质形成和转移等。D-二聚体检测对于肿瘤患者的凝血功能评估具有重要的临床意义。
01 D-二聚体水平用于食管鳞状细胞癌患者 PD-1/PD-L1 抑制剂治疗疗效评估及预后
PD-1 和 PD-L1 是免疫检查点抑制剂( ICIs)治疗中最具靶向性的检查点。抗 PD-1/PD-L1 治疗的疗效存在差异,大多数患者反应不佳,只有少数患者受益,且随着时间推移可能会出现获得性耐药。鉴于 ICIs 治疗的时间窗口狭窄且费用高昂,确定可靠的生物标志物以预测治疗效果和预后至关重要。目前尚缺乏简单有效的理想生物标志物来评估 PD-1/PD-L1 抑制剂治疗的疗效和预后。
众所周知,血小板、纤维蛋白原和 D-二聚体是临床实践中反映患者生理系统凝血和纤溶状况的基本血液标志物,且易于测量,成本低。一些凝血- 纤溶相关的生物标志物预测食管鳞状细胞癌(ESCC)患者结局的价值已被证实。然而,关于 PD-1/PD-L1 抑制剂治疗的食管鳞状细胞癌患者疗效评估和预后的生物标志物价值报道有限。
基于此,一项发表在《The International Journal of Biological Markers》杂志上的研究,回顾性分析了 PD-1/PD-L1 抑制剂治疗的 ESCC 患者,旨在探讨 D-二聚体水平在预测疗效和预后中的价值。

该研究收集了 2017 年 7 月至 2021 年 5 月期间,在浙江省肿瘤医院接受 PD-1/PD-L1 抑制剂治疗的 233 例晚期或转移性 ESCC 患者的临床数据,并进行了回顾性分析。该研究检测分析了患者的血小板、纤维蛋白原和 D-dimer 等指标,以评估这些生物标志物与 PD-1/PD-L1 抑制剂治疗效果之间的关系。
主要研究内容与结果如下:
1. 确定血小板、纤维蛋白原和 D-二聚体的最佳截断值。利用最大选择秩统计量的方法,确定了血小板、纤维蛋白原和 D-二聚体的最佳临界值分别为 243×10^9/L、3.9 g/L 和 236 ng/mL。利用这些已建立的截断值分组分析,发现血小板、纤维蛋白原和 D-二聚体的高组与低组的总生存期(OS)存在显著差异(P < 0.05)。
2. 研究了 233 例食管鳞癌患者的临床数据及其与 D-二聚体水平的关系。结果显示,接受 PD-1/PD-L1 抑制剂治疗的患者中,三线治疗、未同时接受放疗和 / 或化疗、较低的原发部位、较高的纤维蛋白原水平以及较高的 D-二聚体水平(> 236 ng/mL)与较短的无进展生存期(PFS)相关。此外,D-二聚体水平较高的 ESCC 患者接受 PD-1/PD-L1 抑制剂治疗,其 PFS 和 OS 均较低 D-二聚体水平 ESCC 患者差。
3. 进行了不同纤维蛋白原水平下的亚组分析。结果表明,在纤维蛋白原水平较低(≤ 3.90 g/L)的患者中,D-二聚体水平较高(> 236 ng/mL)的患者其无进展生存期和总生存期明显缩短。而在纤维蛋白原水平较高(> 3.90 g/L)的患者中,D-二聚体水平与无进展生存期和总生存期无显著相关性。

不同 D-二聚体水平的 ESCC 患者的 Kaplan-Meier 生存曲线
综上所述,本文的研究结果提示,血小板、纤维蛋白原和 D-二聚体可能作为预测食管鳞癌患者治疗反应和生存率的重要指标。特别是对于纤维蛋白原水平较低的患者,D-二聚体水平的高低可能对其预后产生重要影响。
02 白蛋白与 D-二聚体比值:评估晚期肺腺癌患者一线化疗疗效的新型预后因素
近年来,肺腺癌(LUAD)的发病率显著增加,其已成为所有肺癌中最常见的一种亚型。以铂类为基础的化疗仍然是大多数晚期 LUAD 患者的首选方案。鉴于化疗疗效固有的差异,识别与化疗反应相关的预后标志物对于早期优化治疗方案至关重要,进而改善晚期 LUAD 患者的预后。
先前的研究表明,单独使用白蛋白和 D-二聚体可以预测恶性肿瘤患者的生存期;然而,对于接受一线铂类药物化疗的晚期肺腺癌患者,白蛋白与 D-二聚体比值(ADR)作为预测指标尚未得到研究。
一项发表在《Neoplasma》杂志上的研究,回顾性分析了 313 例晚期肺腺癌患者的数据,旨在探讨 ADR 作为预测晚期肺腺癌患者一线铂类化疗疗效和生存预后的指标的价值。

该研究收集了 2017 年 1 月至 2021 年 1 月期间,沈阳市第五人民医院收治的 313 例晚期 LUAD 患者的数据,并对患者的血清生物标志物(如白蛋白、纤维蛋白原、D-二聚体等)、肿瘤分期、化疗反应和生存率等方面的数据进行进行了回顾性分析。
主要研究内容及结果如下:
1. 首先通过 ROC 曲线确定了不同生物标志物的 AUC 值,其中 AUC 值最高的为白蛋白 / D-二聚体比值(ADR),其 AUC=0.805 。
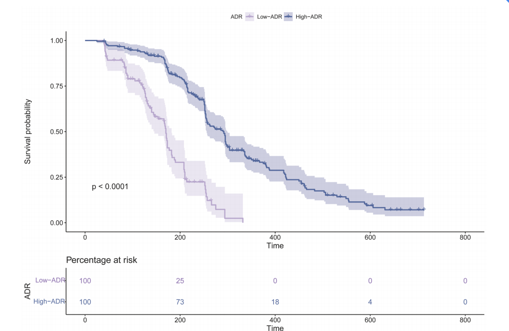
2. 接着,利用 Youden 指数确定了 ADR 的最佳截断值为 16.608,将其用于将患者分为高风险组(ADR < 16.608 )和低风险组(ADR > 16.608 )。
3. 随后对两组患者的临床特征和化疗结果进行了比较,发现高 ADR 组患者在化疗后的疾病控制率 (DCR) 和总体反应率(ORR)明显升高。最后,通过多变量分析确定了预后相关因素,其中包括 ADR、性别、体重指数、红细胞计数、血小板计数、碱性磷酸酶和钠离子水平等因素。此外,在由多因素分析确定的 PFS 获益人群中,高 ADR 组的中位无进展生存期( PFS) 明显长于低 ADR 组(254 vs. 142 天,p < 0.0001)。

基于 ADR 不同阈值的无进展生存期的 Kaplan-Meier 生存曲线
综上,研究结果证实 ADR 可作为晚期肺腺癌患者的新颖且有前景的预后指标,其准确性优于单独使用白蛋白或 D-二聚体以及白蛋白与纤维蛋白原比值。ADR 可用于评估一线化疗的效果和晚期肺腺癌患者的 PFS,同时也可以帮助医生制定更有效的治疗方案。
投稿邮箱:huanghaihua@dxy.cn参考文献:1.Wu Y, Liu X, Li H, et al. D-dimer levels predict the treatment efficacy and prognosis of esophageal squamous cell carcinoma treated with PD-1/PD-L1 inhibitors. The International Journal of Biological Markers. 2024;0(0). doi:10.1177/039361552412620452.Zhang L, Li X, Wang Z, Zhang Z, Zhang L, Liu Z, Zhang L, Wang S, Khorobrykh TV, He M, Xiao J. Albumin-to-D-dimer ratios: A novel prognostic factor for evaluating first-line chemotherapy efficacy in advanced lung adenocarcinoma patients. Neoplasma. 2024 Feb;71(1):77-87. doi: 10.4149/neo_2024_230413N205. PMID: 38506032.
电话